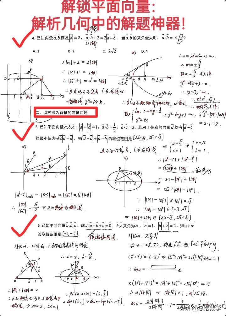
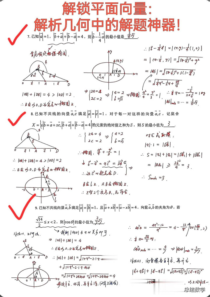
解锁平面向量: 贯通几何中的解题神器!
在高考试卷中,贯通几何与平面向量动作数学学科的蹙迫构成部分,时时以轮廓题的体式出现,覆按学生空间念念象智力、逻辑推明智力及轮廓愚弄学问护士问题的智力。贯通几何通过代数要害狡计几何问题,将几何图形置于坐标系中,利用方程形容其性质;而平面向量则以大小为所在的量为中枢,提供了一种大概形容几何变换与相关的妙技。两者辘集,不仅深切了对几何图形的通晓,也为护士复杂数学问题提供了有劲器具。尤其在高考数学中,贯通几何布景下的平面向量问题,成为考试学生数学修养与解题技艺的要害题型。更多好题滴滴我共享





